February 20, 2017
Feature

For Biofluids, a New Fast Automated Analysis

Surveilling endogenous metabolites and xenobiotics in under 60 seconds

Fig7_lg
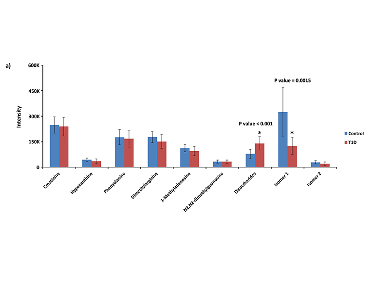
Nine small molecule features from the urine samples, T1D and control.

Complex human biofluids, including blood and urine contain clues about chemical exposures and molecular changes that indicate disease states. Screening for these factors in large-sample cohorts benefits from a rapid and sensitive analytical platform.

Additionally, such a platform needs to be capable of identifying the genetic and environmental causes of disease in biofluids. That requires measuring two critical molecular factors: endogenous metabolites (found in molecular intermediates and products of metabolism) and xenobiotics, foreign chemical substances often present in organisms at risk.

A recent paper co-authored by scientists from the Pacific Northwest National Laboratory (PNNL) describes a novel analytical surveillance platform and its evaluation in large-cohort exposure assessment and metabolite screening. The SPE-IMS-MS platform combines solid-phase extraction, ion mobility spectrometry, and mass spectrometry. It analyzes small molecules with a combination of speed and comprehensiveness not previously possible.

This new platform overcomes many of the current challenges confronting large-scale metabolomic and exposomic analyses. It provides rapid measurements (both targeted and global) that have high sensitivity and broad dynamic range. The SPE-IMS-MS also provides a capability for population and patient cohort screening that may deliver insights into disease processes and human environmental chemical exposure.

The Clinical Mass Spectrometry study was done by 17 PNNL scientists, along with colleagues from Oregon State University and Agilent Technologies in California. They demonstrated that SPE-IMS-MS provides high sensitivity information on the chemistry of the two risk indicators while still maintaining high throughput. Each sample analysis took less than 1 minute.

To test the platform, the researchers performed a global case-control urine study of individuals with Type 1 diabetes (T1D). The results from SPE-IMS-MS revealed previously unknown isomers associated with T1D. The results also generated global data for future biomarker discovery and for characterizing and profiling consequential metabolic pathways.

What’s Next?

To achieve enhanced analyses, the researchers are exploring several improvements to the platform. They are also busy characterizing thousands of small-molecule standards – data to be archived in large chemical identification libraries to make rapid feature identifications possible.

Acknowledgements

Sponsors: Portions of this research were supported by the National Institute of Environmental Health Sciences of the National Institutes of Health; the National Institute of General Medical Sciences; and by PNNL’s Laboratory Directed Research and Development Program and its Microbes in Transition initiative.

The research utilized capabilities developed by the Pan-omics program funded by the Genome Sciences Program at the U.S. Department of Energy Office of Biological and Environmental Research and capabilities also developed by the National Institute of Allergy and Infectious Diseases.

User Facility: EMSL, the Environmental Molecular Sciences Laboratory, a DOE Office of Science user facility at PNNL.

Reference: X. Zhang et al., “SPE-IMS-MS: An Automated Platform for Sub-Sixty Second Surveillance of Endogenous Metabolites and Xenobiotics in Biofluids.” Chemical Mass Spectrometry (2016). DOI: http://dx.doi.org/10.1016/j.clinms.2016.11.002. Available online 29 December 2016.

Related link: This paper also explores the potential of the approach and was also published by the team. Metz TO, Baker ES, Schymanski EL, Renslow RS, Thomas DG, Causon TJ, Webb IK, Hann S, Smith RD, Teeguarden JG. “Integrating ion mobility spectrometry into mass spectrometry-based exposome measurements: what can it add and how far can it go?”Bioanalysis. 2017 Jan; 9(1):81-98. PubMed PMID: 27921453.

Download Publication

Key Capabilities

###

About PNNL

Pacific Northwest National Laboratory draws on its distinguishing strengths in chemistry, Earth sciences, biology and data science to advance scientific knowledge and address challenges in energy resiliency and national security. Founded in 1965, PNNL is operated by Battelle and supported by the Office of Science of the U.S. Department of Energy. The Office of Science is the single largest supporter of basic research in the physical sciences in the United States and is working to address some of the most pressing challenges of our time. For more information, visit the DOE Office of Science website. For more information on PNNL, visit PNNL's News Center. Follow us on Twitter, Facebook, LinkedIn and Instagram.